
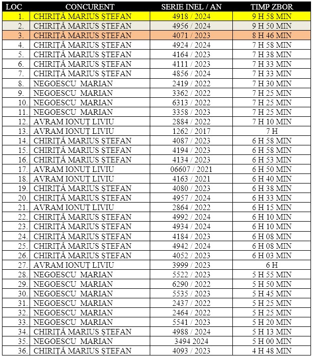
Etapa 1 Maturi 2024- Alte rase de zbor – Individual
This article was posted in Rezultate and tagged Etapa 1 Maturi 2024- Alte rase de zbor - Individual. Bookmark the permalink. Follow comments with the RSS feed for this post.Post a Comment or leave a trackback: Trackback URL.

